為DC/DC轉換器選擇正確的電感器與電容器(圖)
2006/7/26 10:56:11 電源在線網
隨著便攜式電子產品的體積在不斷縮小,其復雜性同時也在相應的提高。這使得設計工程師面臨的問題越來越多,如電池使用壽命、占板空間、散熱或功耗等。本文以德州儀器TPS6220x系列降壓穩壓器為例,向設計工程師介紹在權衡解決方案的占用空間、性能以及成本時,如何為DC/DC轉換器選擇正確的電感器與電容器。
隨著手機、PDA以及其它便攜式電子產品在不斷小型化,其復雜性同時也在相應提高,這使設計工程師面臨的問題越來越多,如電池使用壽命、占板空間、散熱或功耗等。
使用DC/DC轉換器主要是為了提高效率。很多設計都要求將電池電壓轉換成較低的供電電壓,盡管采用線性穩壓器即可實現這一轉換,但它并不能達到基于開關穩壓器設計的高效率。本文將介紹設計工程師在權衡解決方案的占用空間、性能以及成本時必須要面對的常見問題。
大信號與小信號響應
開關轉換器采用非常復雜的穩壓方法保持重/輕負載時的高效率。現在的CPU內核電源要求穩壓器提供快速而通暢的大信號響應。例如,當處理器從空閑模式切換至全速工作模式時,內核吸收的電流會從幾十微安很快地上升到數百毫安。
隨著負載條件變化,環路會迅速響應新的要求,以便將電壓控制在穩壓限制范圍之內。負載變化幅度和速率決定環路響應是大信號響應還是小信號響應。我們可根據穩態工作點定義小信號參數。因此,我們一般將低于穩態工作點10%的變化稱為小信號變化。
實際上,誤差放大器處于壓擺范圍(slew limit)內,由于負載瞬態發生速度超過誤差放大器的響應速度,放大器并不控制環路,所以,在電感器電流達到要求之前,由輸出電容器滿足瞬態電流要求。
大信號響應會暫時使環路停止工作。不過,在進入和退出大信號響應之前,環路必須提供良好的響應。環路帶寬越高,負載瞬態響應速度就越快。
從小信號角度來看,盡管穩壓環路可以提供足夠的增益和相位裕度,但是開關轉換器在線路或負載瞬態期間仍然可能出現不穩定狀態和振鈴現象。在選擇外部元件時,電源設計工程師應意識到這些局限性,否則其設計就有可能遇到麻煩。
電感器選型
以圖1所示的基本降壓穩壓器為例,說明電感器的選型。
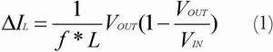
對大多數TPS6220x應用而言,電感器的電感值范圍為4.7uH~10uH。電感值的選擇取決于期望的紋波電流。一般建議紋波電流應低于平均電感電流的20%。如等式1所示,較高的VIN或VOUT也會增加紋波電流。電感器當然必須能夠在不造成磁芯飽和(意味著電感損失)情況下處理峰值開關電流。

以增加輸出電壓紋波為代價,使用低值電感器便可提高輸出電流變化速度,從而改善轉換器的負載瞬態響應。高值電感器則可以降低紋波電流和磁芯磁滯損耗。
可將線圈總損耗結合到損耗電阻(Rs)中,該電阻與理想電感(Ls)串聯,組成了一個如圖1所示的簡化等效電路。
盡管Rs損耗與頻率有關,但在產品說明書中仍對直流電阻(RDC)進行了定義。該電阻取決于所采用的材料或貼片電感器的構造類型,在室溫條件下通過簡單的電阻測量即可獲得。RDC的大小直接影響線圈的溫度上升。因此,應當避免長時間超過電流額定值。

圖1:TPS6220x基本降壓穩壓器。
線圈的總耗損包括RDC中的耗損和下列與頻率相關聯的耗損分量:磁芯材料損耗(磁滯損耗、渦流損耗);趨膚效應造成的導體中的其他耗損(高頻電流位移);相鄰繞組的磁場損耗(鄰近效應);輻射損耗
可將上述所有耗損分量組合在一起構成串聯耗損電阻(Rs)。耗損電阻主要用于定義電感器的品質。然而,我們無法用數學方法確定Rs。因此,我們一般采用阻抗分析儀在整個頻率范圍內對電感器進行測量。這種測量可以確定XL(f)、Rs(f)和Z(f)個別分量。
我們將電感線圈電抗(XL)與總電阻(Rs)之比稱為品質因素Q,參見公式(2)。品質因素被定義為電感器的品質參數。損耗越高,電感器作為儲能元件的品質就越低。

品質—頻率圖可以幫助選擇針對特定應用的最佳電感器結構。如測量結果圖2所示,可以將損耗最低(Q值最高)的工作范圍定義為一直延伸到品質拐點。如果在更高的頻率使用電感器,損耗會劇增(Q降低)。
良好設計的電感器效率降低微乎其微。不同的磁芯材料和形狀可以相應改變電感器的大小/電流和價格/電流關系。采用鐵氧體材料的屏蔽電感器尺寸較小,而且不輻射太多能量。選擇何種電感器往往取決于價格與尺寸要求以及相應的輻射場/EMI要求。
輸出電容器
消除輸出電容器可以在成本和占板空間兩方面實現節省。輸出電容器的基本選擇取決于紋波電流、紋波電壓以及環路穩定性等各種因素。
輸出電容器的有效串聯電阻(ESR)和電感器值會直接影響輸出紋波電壓。利用電感器紋波電流((IL)和輸出電容器的ESR可以簡單地估測輸出紋波電壓。
因此,設計時應當選用ESR盡可能低的電容器。例如,采用X5R/X7R技術的4.7uF到10uF電容器表現為10m(范圍的ESR值。輕負載(或者不考慮紋波的應用)也可以使用容值更小的電容器。

圖2:品質-頻率圖 :(a) Q和頻率的關系;(b) RS和頻率的關系。
TI的控制環路架構使您能夠采用自己首選的輸出電容器,同時還可以補償控制環路,以實現最佳的瞬態響應和環路穩定性。當然,內部補償能夠理想地支持一系列工作條件,而且能夠敏感地響應輸出電容器參數變化。
TPS6220x系列降壓轉換器具有內部環路補償功能。因此,必須選擇支持內部補償功能的外部LC濾波器。對于此類器件而言,內部補償最適合16kHz的LC轉角頻率(corner frequency),即10uH電感器與10uF輸出電容器。根據一般經驗法則,在選用不同輸出濾波器時,L*C乘積不應當大范圍變動。在選擇更小的電感器或電容器值時,會造成轉角頻率增加至更高頻率,因此這一點尤為重要。
在從負載瞬態出現到打開P-MOSFET期間,輸出電容器必須提供負載所需的全部電流。輸出電容器提供的電流會造成經過ESR的電壓降低(從輸出電壓中扣除)。ESR越低,輸出電容器提供負載電流時的電壓損耗就越低。為了降低解決方案尺寸并且提升TPS62200轉換器的負載瞬態性能,建議采用4.7uH電感器和22uF輸出電容器。
參考文獻:
TI TPS62200 datasheet, http://focus.ti.com/lit/ds/symlink/tps62200.pdf
Trilogy of Inductors 2nd extended edition ISBN 3-934350-73-9, Wurth Elektronik
作者:Christophe Vaucourt
系統工程師
德州儀器(德國)公司
隨著手機、PDA以及其它便攜式電子產品在不斷小型化,其復雜性同時也在相應提高,這使設計工程師面臨的問題越來越多,如電池使用壽命、占板空間、散熱或功耗等。
使用DC/DC轉換器主要是為了提高效率。很多設計都要求將電池電壓轉換成較低的供電電壓,盡管采用線性穩壓器即可實現這一轉換,但它并不能達到基于開關穩壓器設計的高效率。本文將介紹設計工程師在權衡解決方案的占用空間、性能以及成本時必須要面對的常見問題。
大信號與小信號響應
開關轉換器采用非常復雜的穩壓方法保持重/輕負載時的高效率。現在的CPU內核電源要求穩壓器提供快速而通暢的大信號響應。例如,當處理器從空閑模式切換至全速工作模式時,內核吸收的電流會從幾十微安很快地上升到數百毫安。
隨著負載條件變化,環路會迅速響應新的要求,以便將電壓控制在穩壓限制范圍之內。負載變化幅度和速率決定環路響應是大信號響應還是小信號響應。我們可根據穩態工作點定義小信號參數。因此,我們一般將低于穩態工作點10%的變化稱為小信號變化。
實際上,誤差放大器處于壓擺范圍(slew limit)內,由于負載瞬態發生速度超過誤差放大器的響應速度,放大器并不控制環路,所以,在電感器電流達到要求之前,由輸出電容器滿足瞬態電流要求。
大信號響應會暫時使環路停止工作。不過,在進入和退出大信號響應之前,環路必須提供良好的響應。環路帶寬越高,負載瞬態響應速度就越快。
從小信號角度來看,盡管穩壓環路可以提供足夠的增益和相位裕度,但是開關轉換器在線路或負載瞬態期間仍然可能出現不穩定狀態和振鈴現象。在選擇外部元件時,電源設計工程師應意識到這些局限性,否則其設計就有可能遇到麻煩。
電感器選型
以圖1所示的基本降壓穩壓器為例,說明電感器的選型。
對大多數TPS6220x應用而言,電感器的電感值范圍為4.7uH~10uH。電感值的選擇取決于期望的紋波電流。一般建議紋波電流應低于平均電感電流的20%。如等式1所示,較高的VIN或VOUT也會增加紋波電流。電感器當然必須能夠在不造成磁芯飽和(意味著電感損失)情況下處理峰值開關電流。

以增加輸出電壓紋波為代價,使用低值電感器便可提高輸出電流變化速度,從而改善轉換器的負載瞬態響應。高值電感器則可以降低紋波電流和磁芯磁滯損耗。
可將線圈總損耗結合到損耗電阻(Rs)中,該電阻與理想電感(Ls)串聯,組成了一個如圖1所示的簡化等效電路。
盡管Rs損耗與頻率有關,但在產品說明書中仍對直流電阻(RDC)進行了定義。該電阻取決于所采用的材料或貼片電感器的構造類型,在室溫條件下通過簡單的電阻測量即可獲得。RDC的大小直接影響線圈的溫度上升。因此,應當避免長時間超過電流額定值。

線圈的總耗損包括RDC中的耗損和下列與頻率相關聯的耗損分量:磁芯材料損耗(磁滯損耗、渦流損耗);趨膚效應造成的導體中的其他耗損(高頻電流位移);相鄰繞組的磁場損耗(鄰近效應);輻射損耗
可將上述所有耗損分量組合在一起構成串聯耗損電阻(Rs)。耗損電阻主要用于定義電感器的品質。然而,我們無法用數學方法確定Rs。因此,我們一般采用阻抗分析儀在整個頻率范圍內對電感器進行測量。這種測量可以確定XL(f)、Rs(f)和Z(f)個別分量。
我們將電感線圈電抗(XL)與總電阻(Rs)之比稱為品質因素Q,參見公式(2)。品質因素被定義為電感器的品質參數。損耗越高,電感器作為儲能元件的品質就越低。

品質—頻率圖可以幫助選擇針對特定應用的最佳電感器結構。如測量結果圖2所示,可以將損耗最低(Q值最高)的工作范圍定義為一直延伸到品質拐點。如果在更高的頻率使用電感器,損耗會劇增(Q降低)。
良好設計的電感器效率降低微乎其微。不同的磁芯材料和形狀可以相應改變電感器的大小/電流和價格/電流關系。采用鐵氧體材料的屏蔽電感器尺寸較小,而且不輻射太多能量。選擇何種電感器往往取決于價格與尺寸要求以及相應的輻射場/EMI要求。
輸出電容器
消除輸出電容器可以在成本和占板空間兩方面實現節省。輸出電容器的基本選擇取決于紋波電流、紋波電壓以及環路穩定性等各種因素。
輸出電容器的有效串聯電阻(ESR)和電感器值會直接影響輸出紋波電壓。利用電感器紋波電流((IL)和輸出電容器的ESR可以簡單地估測輸出紋波電壓。
因此,設計時應當選用ESR盡可能低的電容器。例如,采用X5R/X7R技術的4.7uF到10uF電容器表現為10m(范圍的ESR值。輕負載(或者不考慮紋波的應用)也可以使用容值更小的電容器。

圖2:品質-頻率圖 :(a) Q和頻率的關系;(b) RS和頻率的關系。
TI的控制環路架構使您能夠采用自己首選的輸出電容器,同時還可以補償控制環路,以實現最佳的瞬態響應和環路穩定性。當然,內部補償能夠理想地支持一系列工作條件,而且能夠敏感地響應輸出電容器參數變化。
TPS6220x系列降壓轉換器具有內部環路補償功能。因此,必須選擇支持內部補償功能的外部LC濾波器。對于此類器件而言,內部補償最適合16kHz的LC轉角頻率(corner frequency),即10uH電感器與10uF輸出電容器。根據一般經驗法則,在選用不同輸出濾波器時,L*C乘積不應當大范圍變動。在選擇更小的電感器或電容器值時,會造成轉角頻率增加至更高頻率,因此這一點尤為重要。
在從負載瞬態出現到打開P-MOSFET期間,輸出電容器必須提供負載所需的全部電流。輸出電容器提供的電流會造成經過ESR的電壓降低(從輸出電壓中扣除)。ESR越低,輸出電容器提供負載電流時的電壓損耗就越低。為了降低解決方案尺寸并且提升TPS62200轉換器的負載瞬態性能,建議采用4.7uH電感器和22uF輸出電容器。
參考文獻:
TI TPS62200 datasheet, http://focus.ti.com/lit/ds/symlink/tps62200.pdf
Trilogy of Inductors 2nd extended edition ISBN 3-934350-73-9, Wurth Elektronik
作者:Christophe Vaucourt
系統工程師
德州儀器(德國)公司
聲明:本信息內容的真實性未經電源在線網證實,僅供參考。
